菠菜网站

当前位置: 菠菜网站» 新闻动态» 综合新闻

菠菜网站 质量安全课题组研制MOFs负载槲皮素的纳米复合膜并用于草莓保鲜

      近日,菠菜网站推荐 质量安全课题组在MOFs纳米复合膜制备及草莓保鲜方面取得重要进展,首次利用MOFs负载槲皮素并联合石墨烯-银纳米颗粒构建了新型纳米复合膜用于草莓保鲜,相关研究成果以“Preparation and characterization of Quercetin@ZIF-L/GO@AgNPs nanocomposite film for room-temperature strawberry preservation”为题发表于Food Chemistry上(IF=8.8,Q1)


1.jpg

      草莓营养价值丰富,被誉为“水果皇后”,深受消费者青睐。然而,其水分含量高、果皮薄脆,极易腐烂变质,不耐储运,严重制约草莓产业的发展。目前,采用纳米材料结合抗菌性活性物质制备新型绿色高效的保鲜膜,是延长果蔬货架期的重要手段之一。前期本团队成功制备了多种新型多孔纳米材料,并在咖啡因、茶氨酸、萝卜硫素、吲哚-3-甲醇等生物活性物质的提取富集、分离检测以及负载释放方面的取得了系列研究进展。槲皮素(Quercetin)是一种存在于许多植物中的黄酮类化合物,具有抗菌、抗氧化、抗炎、抗病毒等多种生物活性。将槲皮素添加至保鲜膜可以提高保鲜膜的抗菌能力,但其稳定性差,在加工和储存过程易降解,导致有效利用率低。ZIF-L作为一种叶片状金属有机框架材料(MOFs),其高比表面积和大孔隙度可为槲皮素的负载提供有效结合位点,并显著提高槲皮素的加工稳定性。同时,银纳米粒子(AgNPs)和氧化石墨烯(GO)也具有一定的抗菌特性,将槲皮素负载于ZIF-L,并结合GO和AgNPs的抗菌活性,在PVDF膜中进行多维耦联,可有效提高纳米复合膜的抑菌保鲜性能。

      基于上述设计思路,本研究采用原位聚合法制备了叶片状ZIF-L用于槲皮素的纳米吸附和负载,结合GO@AgNPs的协同抑菌,首次制备了Quercetin@ZIF-L/GO@AgNPs纳米复合膜。其次,通过对纳米复合膜透过率、截留率、水通量和SEM、AFM、接触角等性能参数进行表征优化,最终得到结构均一、性能优良的纳米复合膜。结果表明,ZIF-L对槲皮素的吸附负载性能可达96%,Quercetin@ZIF-L可在一定程度上提升纳米复合膜的保鲜性能,但水蒸气透过率和水通量较高,不利于延长草莓保鲜期。相较而言,Quercetin@ZIF-L/GO@AgNPs纳米复合膜既能协同抑菌,也可降低膜通透性和透光率,显著延长了草莓货架期。其中,10%Quercetin@ZIF-L/10%GO@AgNPs保鲜性能最优,可在常温常湿8天内,保持草莓无明显霉变和腐烂。此外,纳米复合膜的金属离子迁移实验证明,纳米复合膜中银离子和锌离子平均迁移量极低,符合欧盟食品安全标准。

      菠菜网站推荐 为论文完成第一单位,硕士生尹晨、丁欣和博士生林志豪为论文共同第一作者,徐东辉研究员、王健教授(河北北方学院)和刘广洋研究员为共同通讯作者。该研究依托于蔬菜生物育种全国重点实验室、农业农村部蔬菜质量安全控制重点实验室开展,获得了国家重点研发计划、国家大宗蔬菜产业技术体系、北京市面上基金和中国农业科学院农业科技创新工程等项目的资助。

论文链接://www.sciencedirect.com/science/article/pii/S0308814624010616


图片4.jpg

图1 Quercetin@ZIF-L/GO@AgNPs纳米复合膜制备流程图


图片3.jpg

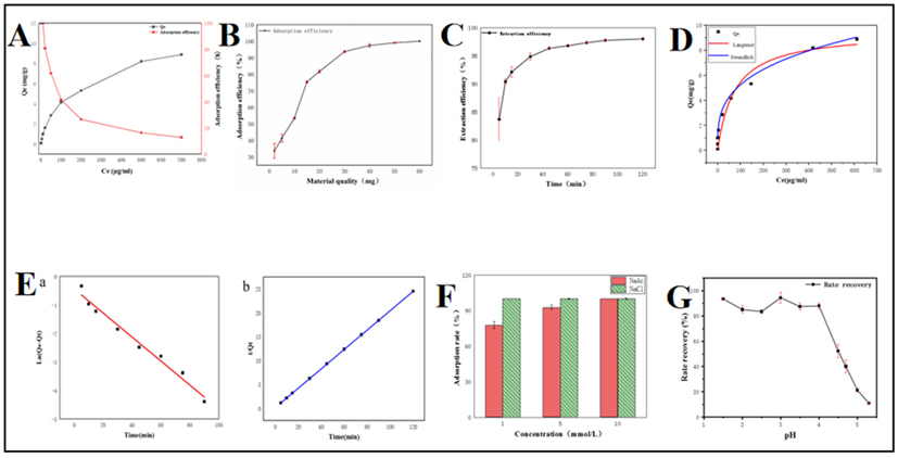
图2 槲皮素初始浓度的影响(A)、ZIF-L吸附剂质量的影响(B)、吸附时间的影响(C)、盐离子浓度干扰试验(D)、pH响应释放试验(E)、盐离子浓度干扰试验(F)和pH响应释放试验(G)


图片5.jpg

图3:不同种类的纳米保鲜膜: Quercetin@ZIF-L膜、添加 5%和10%GO@AgNPs的Quercetin@ZIF-L膜


图片1.jpg

图4:不同材料对草莓的保鲜性能。空白对照组(A),纯PVDF膜(B),15% ZIF-L(C)、Quercetin@ZIF-L膜(D)、添加 1%(E)、5%(F)、10%(G)和 15%(H)GO@AgNPs的Quercetin@ZIF-L膜


关于我们

联系我们

地址:北京市海淀区中关村南大街12号

邮编:100081

电子邮箱:[email protected]

传真:010—62146160

电话:010—82109520

菠菜网站
菠菜网站